CBSE Previous Year Question Papers Class 10 Maths 2019 Delhi
Time Allowed: 3 hours
Maximum Marks: 80
General Instructions:
- All questions are compulsory.
- This question paper consists of 30 questions divided into four sections- A, B, C and D.
- Section A contains 6 questions of 1 mark each, Section B contains 6 questions of 2 marks each, Section C contains 10 questions of 3 marks each and Section D contains 8 questions of 4 marks each.
- There is no overall choice. However, an internal choice has been provided in two questions of 1 mark each, two questions of 2 marks each, four questions of 3 marks each and three questions of 4 marks each. You have to attempt only one of the alternative in all such questions.
- Use of calculators is not permitted.
CBSE Previous Year Question Papers Class 10 Maths 2019 Delhi Set I
Section - A
Question 1.
Find the coordinates of a point A, where AB is diameter of a circle whose centre is (2, -3) and B is the point (1, 4). [1]
Solution:
Let the co-ordinates of point A be (x, y) and point O (2, -3) be point the centre, then
By mid-point formula,

The co-ordinates of point A are (3, -10)
Question 2.
For what values of k, the roots of the equation x2 + 4x + k = 0 are real? [1]
OR
Find the value of k for which the roots of the equation 3x2 - 10x + k = 0 are reciprocal of each other.
Solution:
The given equation is x2 + 4x + k = 0
On comparing the given equation with ax2 + bx + c = 0, we get
a = 1, b = 4 and c = k
For real roots, D ≥ 0
or b2 - 4ac ≥ 0
or 16 - 4k ≥ 0
or k ≤ 4
For k ≤ 4, equation x2 + 4x + k will have real roots.
OR
The given equation is 3x2 - 10x + k = 0
On comparing it with ax2 + bx + c = 0, we get
a = 3, b = -10, c = k
Let the roots of the equation are α and [latex]\frac { 1 }{ \alpha }[/latex]
Product of the roots = [latex]\frac { c }{ a }[/latex]
α . [latex]\frac { 1 }{ \alpha }[/latex] = [latex]\frac { k }{ 3 }[/latex]
or k = 3
- MCQ Questions for Class 10 Maths with Answers PDF Download
- Most Important MCQ Questions for Class 10 Science with Solutions for 2020 Board Exam
- CBSE Previous Year Question Papers for Class 10 and 12 Last 10 Years
- CBSE Class 10 Mid Term Exam Question Papers and Sample Papers
- MCQ Questions for Class 10 Social Science with Answers PDF Download
2020 Board Exam: Download CBSE Sample Papers for Class 10 Bundle PDF |
|
|---|---|
| CBSE Sample Papers for Class 10 Maths | CBSE Sample Papers for Class 10 Standard |
| CBSE Sample Papers for Class 10 English | CBSE Sample Papers for Class 10 Sanskrit |
| CBSE Sample Papers for Class 10 Social Science | Formula Handbook for Class 10 Maths and Science |
Question 3.
Find A if tan 2A = cot (A - 24°) [1]
OR
Find the value of (sin2 33° + sin2 57°)
Solution:
Given, tan 2A = cot (A - 24°)
or cot (90° - 2A) = cot (A - 24°) [∵ tan θ = cot (90° - θ)]
or 90° - 2A = A - 24°
or 3A = 90° + 24°
or 3A = 114°
A = 38°
OR
sin2 33° + sin2 57°
= sin2 33° + cos2 (90° - 57°)
= sin2 33° + cos2 33°
= 1 [∴ sin2 θ + cos2 θ = 1]
Question 4.
Flow many two digits numbers are divisible by 3? [1]
Solution:
The two-digit numbers divisible by 3 are 12, 15, 18, ……… 99
This is an A.P. in which a = 12, d = 3, an = 99
an = a + (n - 1) d
99 = 12 + (n - 1) × 3
87 = (n - 1) × 3
or n - 1 = 29
or n = 30
So, there are 30 two-digit numbers divisible by 3.
Question 5.
In Fig., DE || BC, AD = 1 cm and BD = 2 cm. what is the ratio of the ar (ΔABC) to the ar (ΔADE) ? [1]

Solution:
Given, AD = 1 cm, BD = 2 cm
AB = 1 + 2 = 3 cm
Also, DE || BC (Given)
∠ADE = ∠ABC …(i) (corresponding angles)
In ΔABC and ΔADE
∠A = ∠A (common)
∠ABC = ∠ADE [by equation (i)]
ΔABC ~ ΔADE (by AA rule)
Now,

Question 6.
Find a rational number between √2 and √3. [1]
Solution:
As √2 = 1.414 ….
√3 = 1.732…..
So, a rational number between √2 and √3 is 1.5 or we can take any number between 1.414 and 1.732
Section - B
Question 7.
Find the HCF of 1260 and 7344 using Euclid’s algorithm. [2]
OR
Show that every positive odd integer is of the form (4q + 1) or (4q + 3), where q is some integer.
Solution:
Two numbers are 1260 and 7344
Since 7344 > 1260, we apply the Euclid division lemma to 7344 and 1260, we get
7344 = 1260 × 5 + 1044
Also, 1260 = 1044 × 1 + 216
1044 = 216 × 4 + 180
216 = 180 × 1 + 36
180 = 36 × 5 + 0
Now, remainder is 0, hence our procedure stops here.
H.C.F. of 7344 and 1260 is 36.
OR
Let ‘a’ be any positive odd integer.
We apply the division algorithm with a and b = 4
a = bq + r, where 0 ≤ r < b
or a = 4q + r,
the possible remainders are 0, 1, 2, 3
Then when r = 0, ⇒ a = 4q
r = 1, ⇒ a = 4q + 1
r = 2, ⇒ a = 4q + 2
and when r = 3, ⇒ a = 4q + 3
Since a is odd, a cannot be 4q or 4q + 2
(Since both are divisible by 2)
Therefore, any odd integer is of the form 4q + 1 or 4q + 3.
Hence Proved.
Question 8.
Which term of the A.P. 3, 15, 27, 39, …… will be 120 more than its 21st term? [2]
OR
If Sn, the sum of first tt terms of an A.P. is given by Sn = 3n2 - 4n, find the nth term.
Solution:
The given A.P. is 3, 15, 27, 39,…
Here a = 3, d = 12
a21 = a + 20d = 3 + 20 × 12 = 3 + 240 = 243
Now, an = a21 + 120 = 243 + 120 = 363
an =a + (n - 1) d
363 = 3 + (n - 1) × 12
or 360 = (n - 1) × 12
or n - 1 = 30
n = 31
Hence, the term which is 120 more than its 21st term will be its 31st term.
OR
Given, Sn = 3n2 - 4n
We know that
an = Sn - Sn-1
= 3n2 - 4n - [3 (n - 1)2 - 4 (n - 1)]
= 3n2 - 4n - [3 (n2 - 2n + 1) - 4n + 4]
= 3n2 - 4n - (3n2 - 6n + 3 - 4n + 4)
= 3n2 - 4n - 3n2 + 10n - 7
= 6n - 7
So, nth term will be 6n - 7
Question 9.
Find the ratio in which the segment joining the points (1, -3) and (4, 5) is divided by x-axis? Also, find the coordinates of this point on the x-axis. [2]
Solution:
Let the given points be A (1, -3) and B (4, -5) and the line-segment joining by these points is divided by the x-axis, so the co-ordinate of the point of intersection will be P(x, 0)


Question 10.
A game consists of tossing a coin 3 times and noting the outcome each time. If getting the same result in all the tosses is a success, find the probability of losing the game. [2]
Solution:
When a coin is tossed three times, the set of all possible outcomes is given by,
S = {HHH, HHT, HTH, HTT, TTT, TTH, THT, THH}
Same result on all tosses = HHH, TTT

Question 11.
A die is thrown once. Find the probability of getting a number which
(i) is a prime number
(ii) lies between 2 and 6. [2]
Solution:
In throwing a die Total possible outcomes = 6
i.e., S = {1, 2, 3, 4, 5, 6}
Prime numbers 2, 3, 5

Numbers between 2 and 6 are 3, 4, 5
P (Numbers between 2 and 6) = [latex]\frac { 3 }{ 6 }[/latex] = [latex]\frac { 1 }{ 2 }[/latex]
Question 12.
Find c if the system of equations cx + 3y + (3 - c) = 0, 12x + cy - c = 0 has infinitely many solutions? [2]
Solution:
The given equations are
cx + 3y + (3 - c) = 0
and 12x + cy - c = 0
On comparing with equation a1x + b1y + c1 = 0
and equation a2x + b2y + c2 = 0, we get
a1 = c, b1 = 3, c1 = 3 - c
and a2 = 12, b2 = c, c2 = -c
For infinitely many solutions

Section - C
Question 13.
Prove that √2 is an irrational number. [3]
Solution:
Let √2 is a rational number.
So, √2 = [latex]\frac { a }{ b }[/latex] where a and b are co-prime integers and b ≠ 0
or √2 b = a
Squaring on both sides, we get
2b2 = a2
Therefore, 2 divdies a2
or 2 divides a (from theorem)
Let a = 2c, for some integer c
From equation (i)
2b2 = (2c)2
or 2b2 = 4c2
or b2 = 2c2
It means that 2 divides b2 and so 2 divides b
Therefore a and b have at least 2 as a common factor.
But this contradicts the fact that a and b are co-prime.
This contradiction is due to our wrong assumption that √2 is rational.
So, we conclude that √2 is irrational.
Hence Proved.
Question 14.
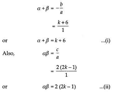
Find the value of k such that the polynomial x2 - (k + 6)x + 2(2k - 1) has sum of its zeros equal to half to their product. [3]
Solution:
The given quadratic polynomial is x2 - (k + 6) x + 2(2k - 1)
Comparing with ax2 + bx + c, we get a = 1, b = -(k + 6) and c = 2(2k + 1)
Let the zeroes of the polynomial be α and β
we know that

According to question
Sum of zeroes = [latex]\frac { 1 }{ 2 }[/latex] of their product
α + β = [latex]\frac { 1 }{ 2 }[/latex] αβ
or k + 6 =[latex]\frac { 1 }{ 2 }[/latex] × 2(2k - 1) [using equations (i) & (ii)]
or k + 6 = 2k - 1
k = 7
Question 15.
A father’s age is three times the sum of the ages of his two children. After 5 years his age will be two times the sum of their ages. Find the present age of the father. [3]
OR
A fraction becomes [latex]\frac { 1 }{ 3 }[/latex] when 2 is subtracted from the numerator and it becomes [latex]\frac { 1 }{ 2 }[/latex] when 1 is subtracted from the denominator. Find the fraction.
Solution:
Let the present age of father be x years and sum of ages of his two children be y years
According to question
x = 3y …(i)
After 5 years
Father’s age = (x + 5) years
Sum of ages of two children = (y + 5 + 5) years = (y + 10) years
In 2nd case
According to question
x + 5 = 2 (y + 10)
or x + 5 = 2y + 20
or x - 2y = 15
or 3y - 2y = 15 (Using equations (i))
y = 15
Now from equation (i)
x = 3y (Put y = 15)
or x = 3 × 15
x = 45
So, Present age of father = 45 years.
OR
Let the fraction be [latex]\frac { x }{ y }[/latex]
According to question [latex]\frac { x-2 }{ y }[/latex] = [latex]\frac { 1 }{ 3 }[/latex]
or 3(x - 2) = y
or 3x - y = 6 …(i)
again, According to question
[latex]\frac { x }{ y-1 }[/latex] = [latex]\frac { 1 }{ 2 }[/latex]
or 2x = y - 1
or 2x - y = -1 …(ii)
On solving equation (i) and (ii), we get
x = 7, y = 15
The required fraction is [latex]\frac { 7 }{ 15 }[/latex]
Question 16.
Find the point on y-axis which is equidistant from the points (5, -2) and (-3, 2). [3]
OR
The line segment joining the points A(2, 1) and B(5, -8) is trisected at the points P and Q such that P is nearer to A. If P also lies on the line given by 2x - y + k = 0, find the value of k.
Solution:
We know that a point on the y-axis is of the form (0, y).
So, let the point P(0, y) be equidistant from A (5, -2) and B (-3, 2)
Then AP = BP
or AP2 = BP2
or (5 - 0)2 + (-2 - y)2 = (-3 - 0)2 + (2 - y)2
or 25 + 4 + y2 + 4y = 9 + 4 + y2 - 4y
8y = -16
y = -2
So, the required point is (0, -2)
OR
The line segment AB is trisected at the points P and Q and P is nearest to A
So, P divides AB in the ratio 1 : 2

P lies on the line 2x - y + k = 0
It will satisfy the equation.
On putting x = 3 and y = -2 in the given equation, we get
2(3) - (-2) + k = 0
6 + 2 + k = 0
k = -8
Hence, k = -8
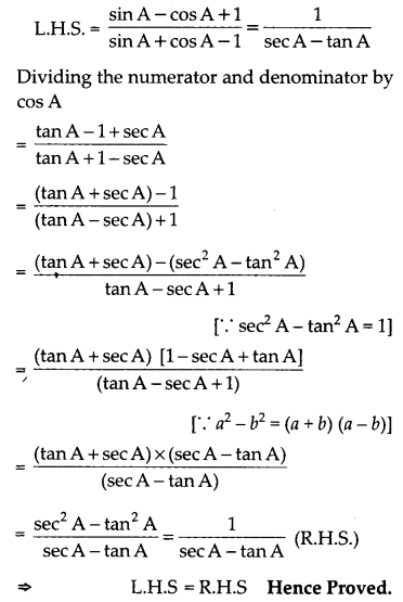
Question 17.
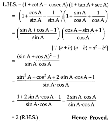
Prove that (sin θ + cosec θ )2 + (cos θ + sec θ)2 = 7 + tan2 θ + cot2 θ. [3]
OR
Prove that (1 + cot A - cosec A) (1 + tan A + sec A) = 2.
Solution:
L.H.S. = (sin θ + cosec θ)2 + (cos θ + sec θ)2
= sin2 θ + cosec2 θ + 2. sin θ. cosec θ + cos2 θ + sec2 θ + 2 cos θ sec θ.
(∵ (a + b)2 = a2 + b2 + 2ab)


Question 18.
In Fig. PQ is a chord of length 8 cm of a circle of radius 5 cm and centre O. The tangents at P and Q intersect at point T. Find the length of TP. [3]

Solution:
Join OT, let it intersect PQ at the point R
Now, ΔTPQ is an isosceles triangle and TO is the angle bisector of ∠PTQ.
So, OT ⊥ PQ and therefore, OT bisects PQ
PR = RQ = 4 cm

Question 19.
In Fig. ∠ACB = 90° and CD ⊥ AB, prove that CD2 = BD × AD. [3]

OR
If P and Q are the points on side CA and CB respectively of ΔABC, right-angled at C, prove that (AQ2 + BP2) = (AB2 + PQ2).
Solution:
Given, A ΔACB in which ∠ACB = 90° and CD ⊥ AB
To prove : CD2 = BD × AD
Proof: In ΔADC and ΔACB
∠A = ∠A (common)
∠ADC = ∠ACB (90° each)
ΔADC ~ ΔACB (By AA rule)…(i)
Similarly,
ΔCDB ~ ΔACB (By AA rule)…(ii)
From equation (i) and (ii)
ΔADC ~ ΔCDB
[latex]\frac { AD }{ CD }[/latex] = [latex]\frac { CD }{ DB }[/latex]
(by the definition of similarity of triangles)
or CD2 = AD . BD
or CD2 = BD × AD
Hence Proved.
OR
Given, ABC is a right-angled triangle in which ∠C = 90°

To prove : AQ2 + BP2 = AB2 + PQ2
Construction: Join AQ, PB and PQ
Proof: In ΔAQC, ∠C = 90°
AQ2 = AC2 + CQ2 …(i) (Using Pythagoras theorem)
In ΔPBC, ∠C = 90°
BP2 = BC2 + CP2 …(ii) (Using Pythagoras theorem)
Adding equation (i) and (ii)
AQ2 + BP2 = AC2 + CQ2 + BC2 + CP2 = AC2 + BC2 + CQ2 + CP2
or AQ2 + BP2 = AB2 + PQ2
Hence Proved.
Question 20.
Find the area of the shaded region in Fig. if ABCD is a rectangle with sides 8 cm and 6 cm and D is the centre of the circle. [3]
[Take π = 3.14]

Solution:
Given, ABCD is a rectangle with sides AB = 8 cm and BC = 6 cm
In ΔABC
AC2 = 82 + 62 (By Pythagoras Theorem)
⇒ AC2 = 64 + 36
⇒ AC2 = 100
⇒ AC = 10 cm
The diagonal of the rectangle will be the diameter of the circle
radius of the circle = [latex]\frac { 10 }{ 2 }[/latex] = 5 cm
Area of shaded portion = Area of circle - Area of Rectangle
= πr2 - l × b
= 3.14 × 5 × 5 - 8 × 6
= 78.50 - 48
= 30.50 cm2
Hence, Area of shaded portion = 30.5 cm2
Question 21.
Water in a canal, 6 m wide and 1.5 m deep, is flowing with a speed of 10 km/hour. How much area will it irrigate in 30 minutes, if 8 cm standing water is needed? [3]
Solution:
Let b be the width and h be the depth of the canal
b = 6 m and h = 1.5 m
Water is flowing with a speed = 10 km/h = 10,000 m/h
Length of water flowing in 1 hr = 10,000 m
Length (l) of water flowing in [latex]\frac { 1 }{ 2 }[/latex] hr = 5,000 m
Volume of water flowing in 30 min. = l × b × h = 5000 × 6 × 1.5 m3
Let the area irrigated in 30 min ([latex]\frac { 1 }{ 2 }[/latex] hr) be x m2
Volume of water required for irrigation = Volume of water flowing in 30 min.
x × [latex]\frac { 8 }{ 100 }[/latex] = 5000 × 6 × 1.5
x = 562500 m2 = 56.25 hectares. (∵ 1 hactare = 104 m2)
Hence, the canal will irrigate 56.25 hectares in 30 min.
Question 22.
Find the mode of the following frequency distribution. [3]

Solution:
The given frequency distribution table is

Here, the maximum class frequency is 16
Modal class = 30-40
lower limit (l) of modal class = 30
Class size (h) =10
Frequency (f1) of the modal class = 16
Frequency (f0) of preceding class = 10
Frequency (f2) of succeeding class = 12

Section - D
Question 23.
Two water taps together can fill a tank in 1[latex]\frac { 7 }{ 8 }[/latex] hours. The tap with longer diameter takes 2 hours less than the tap with a smaller one to fill the tank separately. Find the time in which each tap can fill the tank separately. [4]
OR
A boat goes 30 km upstream and 44 km downstream in 10 hours. In 13 hours, it can go 40 km upstream and 55 km downstream. Determine the speed of the stream and that of the boat in still water.
Solution:
Let the tap A with longer diameter take x hours and the tap B with smaller diameter take (x + 2) hours to fill the tank.
Portion of tank filled by the tap A in 1 hr. = [latex]\frac { 1 }{ x }[/latex]
and Portion of tank filled by the tap B in 1 hr. = [latex]\frac { 1 }{ x+2 }[/latex]
Portion of the tank filled by both taps in 1 hr. = [latex]\frac { 1 }{ x }[/latex] + [latex]\frac { 1 }{ x+2 }[/latex] = [latex]\frac { x+2+x }{ x(x+2) }[/latex]
Time taken by both taps to fill the tank = 1[latex]\frac { 7 }{ 8 }[/latex] hrs = [latex]\frac { 15 }{ 8 }[/latex] hrs
Portion of the tank filled by both in 1 hr. = [latex]\frac { 8 }{ 15 }[/latex]
According to question,
[latex]\frac { 2x+2 }{ x(x+2) }[/latex] = [latex]\frac { 8 }{ 15 }[/latex]
⇒ [latex]\frac { 2(x+1) }{ x(x+2) }[/latex] = [latex]\frac { 8 }{ 15 }[/latex]
⇒ 15x + 15 = 4x2 + 8x
⇒ 4x2 - 7x - 15 = 0
⇒ 4x2 - 12x + 5x - 15 = 0
⇒ 4x (x - 3) + 5 (x - 3 ) = 0
⇒ (4x + 5)(x - 3) =0
⇒ 4x + 5 = 0 or x - 3 = 0
⇒ x = [latex]\frac { -5 }{ 4 }[/latex] Since, time can not be negative hence, neglegted this value is; x = 3
Hence, the time taken with longer diameter tap = 3 hours
and the time taken with smaller diameter tap = 5 hours.
OR
Let the speed of the boat in still water be x km/h and the speed of the stream be y km/h
Then the speed of the boat downstream = (x + y) km/h
and the speed of the boat upstream = (x - y) km/h
We know that,


On solving, we get x = 8 and y = 3
Hence, the speed of the boat in still water = 8 km/h
and the speed of the stream = 3 km/h
Question 24.
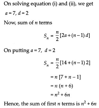
If the sum of first four terms of an A.P. is 40 and that of first 14 terms is 280. Find the sum of its first n terms. [4]
Solution:
Given, S4 = 40 and S14 = 280
If a be the first term and d be the common difference of an A.P.


Question 25.

Solution:

Question 26.
A man in a boat rowing away from a lighthouse 100 m high takes 2 minutes to change the angle of elevation of the top of the lighthouse from 60° to 30°. Find the speed of the boat in metres per minute. [Use √3 = 1.732] [4]
Solution:
Let AB be the lighthouse C and D be the two positions of the boat, such that,
CD = x m and BC = y m


Question 27.
Construct a ∆ABC in which CA = 6 cm, AB = 5 cm and ∠BAC = 45°. Then construct a triangle whose sides are [latex]\frac { 3 }{ 5 }[/latex] of the corresponding sides of ∆ABC. [4]
Solution:
Steps of Construction are as follows:
- Draw AB = 5 cm
- At the point, A draw ∠BAX = 45°
- From AX cut off AC = 6 cm
- Join BC, ∆ABC is formed with given data.
- Draw AY making an acute angle with AB as shown in the figure.

- Draw 5 arcs P1, P2, P3, P4, and P5 with equal intervals.
- Join BP5.
- Draw P3B’ || P5B meeting AB at B’.
- From B’, draw B’C’ || BC meeting AC at C’
∆AB’C’ ~ ∆ABC
Hence ∆AB’C’ is the required triangle.
Question 28.
A bucket open at the top is in the form of a frustum of a cone with a capacity of 12308.8 cm3. The radii of the top and bottom of circular ends of the bucket are 20 cm and 12 cm respectively. Find the height of the bucket and also the area of the metal sheet used in making it. (Use π = 3.14) [4]
Solution:
Let r and R be the radii of the top and the bottom circular ends of the bucket respectively.
Let h be the height of the bucket.
R = 20 cm and r = 12 cm
Capacity of the bucket = 12308.8 cm3
Volume of bucket (frustum)

Thus, the height of the bucket is 15 cm.
The area of the metal sheet used in making the bucket = CSA of bucket + area of the circular bottom

Area of metal sheet used = π[(R + r)l + r2]
= 3.14 [(20 + 12) × 17 + 122]
= 3.14 [32 × 17 + 144]
= 3.14 [544 + 144]
= 3.14 × 688
= 2160.32 cm2
Question 29.
Prove that in a right-angle triangle, the square of the hypotenuse is equal the sum of squares of the other two sides. [4]
Solution:
Given, A ΔABC right angled at B.
To prove : AC2 = AB2 + BC2

Construction : Draw BD ⊥ AC
Proof: In ΔADB and ΔABC
∠A = ∠A (common)
∠ADB = ∠ABC (90° each)
ΔADB ~ ΔABC (By AA rule)
So, [latex]\frac { AD }{ AB }[/latex] = [latex]\frac { AB }{ AC }[/latex] (sides are proportional)
or AB2 = AD.AC …(i)
Also, In ΔBDC and ΔABC
∠C = ∠C (common)
∠BDC = ∠ABC (90° each)
ΔBDC ~ ΔABC
So, [latex]\frac { CD }{ BC }[/latex] = [latex]\frac { BC }{ AC }[/latex]
or BC2 = CD.AC …(ii)
Adding equation (i) and (ii), we get
AB2 + BC2 = AD.AC + CD.AC
= AC (AD + CD)
= AC × AC
= AC2
or AC2 = AB2 + BC2
Hence Proved.
Question 30.
If the median of the following frequency distribution is 32.5. Find the values of f1 and f2. [4]

OR
The marks obtained by 100 students of a class in an examination are given below.

Draw ‘a less than’ type cumulative frequency curves (ogive). Hence find the median.
Solution:
Median = 32.5




To draw a less than ogive, we mark the upper-class limits of the class intervals on the x-axis and their c.f. on the y-axis by taking a convenient scale.
Here, n = 100 ⇒ [latex]\frac { n }{ 2 }[/latex] = 50
To get median from graph From 50, we draw a perpendicular to the curve then from that point draw again perpendicular to x-axis.
The point where this perpendicular meet on the x-axis will be the median.
Median = 29

CBSE Previous Year Question Papers Class 10 Maths 2019 Delhi Set II
Note: Except for the following questions, all the remaining questions have been asked in previous sets.
Section - A
Question 1.
Find the coordinates of a point A, where AB is a diameter of the circle with centre (-2, 2) and B is the point with coordinates (3, 4). [1]
Solution:
By mid-point formula
[latex]\frac { x+3 }{ 2 }[/latex] = -2
x = -4 - 3 = -7

and [latex]\frac { y+4 }{ 2 }[/latex] = 2
⇒ y = 0
Co-ordinates of point A are (-7, 0).
Section - B
Question 7.
Find the value of k for which the following pair of linear equations have infinitely many solutions. [2]
2x + 3y = 7, (k + 1)x + (2k - 1)y = 4k + 1
Solution:
Given,
2x + 3y = 7 and (k + 1) x + (2k - 1)y = 4k + 1
On comparing above equations with
a1x + b1y + c1 = 0 and a2x + b2y + c2 = 0, we get
a1 = 2, b1 = 3, c1 = -7
a2 = k + 1, b2 = 2k - 1, c2 = -(4k + 1)
For infinitely many solutions

⇒ 2(2k - 1) = 3 (k + 1)
⇒ 4k - 2 = 3k + 3
⇒ k = 5
or 3 (4k + 1) = 7(2k - 1)
⇒ k = 5
Hence, k = 5.
Section - C
Question 13.
The arithmetic mean of the following frequency distribution is 53. Find the value of k. [3]

Solution:
Given, Median = 53

Question 14.
Find the area of the segment shown in Fig. if radius of the circle is 21 cm and ∠AOB = 120° (π = [latex]\frac { 22 }{ 7 }[/latex]) [3]
Solution:
Given, Radius of the circle = 21 cm and ∠AOB = 120°


Question 16.
In Fig. a circle is inscribed in a ∆ABC having sides BC = 8 cm, AB = 10 cm and AC = 12 cm. Find the lengths BL, CM and AN. [3]
Solution:
A circle is inscribed in a ∆ABC
AB = 10 cm, BC = 8 cm and AC = 12 cm
Let AN = AM = z
BN = BL = x
CL = CM = y
(Tangents drawn from an exterior points are equal in length.)
Perimeter of ∆ = AB + BC + CA = 10 + 8 + 12 = 30
or x + z + x + y + y + z = 30
2 (x + y + z) = 30
x + y + z = 15 …(i)
Also, AB = 10 cm
or x + z = 10 …(ii)
and AC = 12
or y + z = 12 …(iii)
and BC = 8 cm
x + y = 8 …(iv)
From equation (i) and (ii), y = 5 cm
From equation (i) and (iii), x = 3 cm
From equation (i) and (iv), z = 7 cm
So, BL = 3 cm, CM = 5 cm, AN = 7 cm.
Section - D
Question 23.

Solution:

Question 24.
The first term of an A.P. is 3, the last term is 83 and the sum of all its terms is 903. Find the number of terms and the common difference of the A.P. [4]
Solution:
Given, a = 3, an = 83 = l
Sn = 903
an = a + (n - 1)d
83 = 3 + (n - 1)d
(n - 1)d = 80 …(i)
Also, Sn = [latex]\frac { n }{ 2 }[/latex] (a + l)
⇒ 903 = [latex]\frac { n }{ 2 }[/latex] (3 + 83)
⇒ 1806 = n × 86
⇒ n = 21
From Equation(i)
(21 - 1)d = 80
d = 4
Hence, No. of terms are 21 and common difference is 4 of given A.P.
Question 25.
Construct a triangle ABC with side BC = 6 cm, ∠B = 45°, ∠A = 105°. Then construct another triangle whose sides are [latex]\frac { 3 }{ 4 }[/latex] times the corresponding sides of the ∆ABC. [4]
Solution:
Steps of construction:
1. Draw a ∆ABC in which BC = 6 cm, ∠B = 45° and ∠C = 30°
[∵ ∠A = 105°, (given)
and ∠A + ∠B + ∠C = 180°
105° + 45° + ∠C = 180°
∠C = 180° - 150°
∠C = 30°]

2. Draw a ray BX and mark 4 arcs of an equal radius on it.
3. Join P4C, From P3, draw P3C’ || P4C which meets BC at C’.
4. From C’ draw C’A || CA, which meets AB at A’
∆A’BC’ ~ ∆ABC and ∆A’BC’ is the required triangle.
CBSE Previous Year Question Papers Class 10 Maths 2019 Delhi Set III
Note: Except for the following questions, all the remaining questions have been asked in previous sets.
Section - A
Question 1.
Two positive integers a and b can be written as a = x3y2 and b = xy3. x, y are prime numbers. Find LCM (a, b). [1]
Solution:
Given, a = x3y2 and b = xy3
L.C.M (a, b) = Product of the greatest power of each prime factors = x3y3
Section - B
Question 7.
Find, how many two-digit natural numbers are divisible by 7. [2]
OR
If the sum of first n terms of an A.P. is n2, then find its 10th term.
Solution:
Two digit numbers which are divisible by 7 are 14, 21, 28,…. 98
It is an A.P., such that a = 14, an = 98; d = 21 - 14 = 7
an = a + (n - 1)d
98 = 14 + (n - 1) × 7
84 = (n - 1) × 7
or n - 1 = 12
n = 13
Hence, there are 13 two digit numbers, divisible by 7.
OR
Given, Sn = n2, Sn-1 = (n - 1)2
an = Sn - Sn-1
= n2 - (n - 1)2
= n2 - [n2 - 2n + 1]
= n2 - n2 + 2n - 1
an = 2n - 1
Put n = 10, a10 = 2 × 10 - 1 = 19
Hence 10th term = 19
Section - C
Question 13.
Find all zeroes of the polynomial 3x3 + 10x2 - 9x - 4 if one of its zero is 1. [3]
Solution:
Given, P(x) = 3x3 + 10x2 - 9x - 4
x = 1 is a zero of P(x)
(x - 1) is a factor of P(x)
To find other zeroes, we divide P(x) by (x - 1)

P(x) = (x - 1) (3x2 + 13x + 4)
= (x - 1)(3x2 + 12x + x + 4)
= (x - 1) {3x (x + 4) + 1 (x + 4)}
= (x - 1)(x + 4)(3x + 1)
other zeroes are x + 4 = 0 ⇒ x = -4,
and 3x + 1 = 0 ⇒ x = [latex]\frac { -1 }{ 3 }[/latex]
other zeroes are x = -4 and x = [latex]\frac { -1 }{ 3 }[/latex]
Question 15.
Prove that [latex]\frac { 2+\surd 3 }{ 5 }[/latex] is an irrational number, given that √3 is an irrational number. [3]
Solution:
Let [latex]\frac { 2+\surd 3 }{ 5 }[/latex] is a rational number

In R.H.S., a, b, 2 and 5 are integers.
R.H.S. is a rational number but L.H.S. = √3,
which is given that √3 is irrational.
So, it is a contradiction.
Hence, [latex]\frac { 2+\surd 3 }{ 5 }[/latex] is an irrational number.
Section - D
Question 23.
If sec θ = x + [latex]\frac { 1 }{ 4x }[/latex] , x ≠ 0, find (sec θ + tan θ). [4]
Solution:


Question 24.
Prove that the ratio of the areas of two similar triangles is equal to the square of the ratio of their corresponding sides. [4]
Solution:
Given, Two triangles ΔABC and ΔPQR are similar to each other.



Question 25.
The following distribution gives the daily income of 50 workers of a factory.

Convert the distribution above to a ‘less than type’ cumulative frequency distribution and draw its ogive. [4]
OR
The table below shows the daily expenditure on the food of 25 households in a locality. Find the mean daily expenditure of food.

Solution:


CBSE Previous Year Question Papers CBSE Previous Year Question Papers Class 10 Maths